Cada una de las 70 billones de células de las que se compone un cuerpo humano necesita un aporte continuo de energía. En otra asombrosa constatación de la evolución (y van…), se sabe que no sólo todas las células humanas comparten un mismo mecanismo de generación de energía, sino que éste es idéntico en la mayoría de los seres vivos existentes en la Tierra.
Dicho mecanismo consiste en una ruta metabólica llamada fosforilación oxidativa, un proceso que a partir de nutrientes es capaz de sintetizar ATP, una molécula omnipresente en los procesos metabólicos de todos los seres vivos.
La molécula de ATP es el estándar en transporte de energía. Se puede ver como un billete de $1: se genera allí dónde hay exceso de energía y se gasta en dónde es necesario hacer algún trabajo químico. Pero al contrario que en este símil, una molécula de ATP siempre lleva un valor fijo de energía.
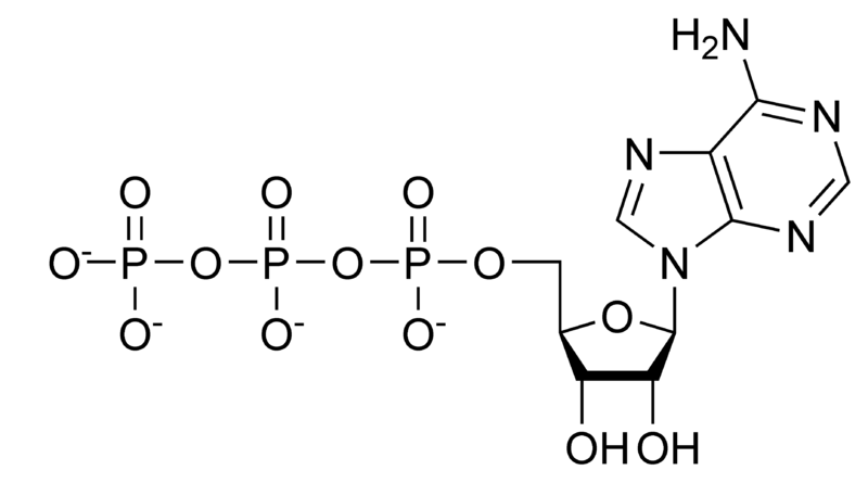
ATP, el transportador de energía por excelencia. De izquierda a derecha: tres grupos fosfatos, un azúcar ribosa y una adenina. (Créditos imagen)
Para mantener una célula viva, ésta debe disponer de ciertas reservas de ATP, ya que se gasta continuamente. De hecho, éste es el origen de nuestra necesidad de respirar: el oxígeno llega hasta las células, donde, junto a glucosa que viene de los alimentos (o de las reservas de grasa en situaciones de esfuerzo físico, etc…), da lugar a ATP a través de una serie de reacciones que ocurren en las mitocondrias.

Para hacerse una idea del frenético ritmo al que se crea y se destruye ATP en nuestro cuerpo, decir que necesitamos gastar (hidrolizar) ~70Kg de ATP a diario, pero en un determinado momento sólo tenemos unos ~70 gramos repartidos por todas nuestras células.
La respiración celular y el ciclo que genera ATP es por tanto un proceso absolutamente crítico para la vida que necesariamente debe ocurrir de manera constante, o las células empezarán a morir.
Y precisamente este proceso de síntesis de ATP es una de las cosas que el arsénico es capaz de interferir y bloquear. Dentro de las mitocondrias existe una enzima muy ocupada 24 horas al día en sintetizar ATP a partir de moléculas de ADP y de fosfato inorgánico (Pi):
ADP + Pi –> ATP
Pero debido a su similitud química, el arsénico (o sus compuestos) puede acoplarse en esta reacción sustituyendo al fosfato, y bloqueando así la generación de ATP. Como curiosidad, es tan similar que la vida podría haber estado basado en él, cómo parece demostrar el famoso descubrimiento de la NASA hace unos meses de vida parcialmente basada en arsénico.
Si se paraliza dicha síntesis, las células sólo dispondrán del ATP de reserva, lo que les da para uno o dos minutos de vida. A partir de ese momento, las células pueden empezar a morir por un proceso que no es el «natural», llamado necrosis, se pueden producir hemorragias internas y, para dosis elevadas de arsénico, se puede llegar al fallo multiorgánico y a la muerte.




