Todos hemos sufrido seguramente más de una vez el enfrentarnos a exámenes de tipo test, y seguro que los que más rabia dan son los que descuentan por errores. Sin embargo, hoy vamos a ver porqué, desde el punto de vista del que pone el examen, es obligatorio que los fallos descuenten.
El caso probablemente más común es un exámen donde cada pregunta tiene 4 respuestas posibles y sólo hay una verdadera, en el que cada error descuenta exactamente 1/3 de lo que suma cada respuesta válida.
¿Por qué justamente 1/3? Hoy vamos a repasar las ecuaciones probabilísticas (muy sencillas) de las que se saca esa cantidad.
Tenemos un examen, cuya nota se obtiene como la suma de la puntuación de cada una de las N preguntas, donde llamamos ni a la nota en la i-ésima pregunta, es decir:
(hoy no me apetecía escribir en Latex :-)Llamaremos M al número de posibles respuestas en cada pregunta tipo test. Aquí empezamos nuestro razonamiento: lo que queremos es que si el alumno no sabe ninguna respuesta, obtenga de nota un cero. Matemáticamente, la forma de modelar que una respuesta se hizo al azar, «sin tener ni idea», es asumiendo que cualquiera de las M respuestas tiene las mismas probabilidades de salir elegida. Esto se llama distribución uniforme.
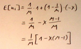
En ese caso, la puntuación ni obtenida en cualquier pregunta será, solo en uno de cada M casos, de 1 punto positivo, siendo de X puntos negativos (X es lo que queremos derivar, es una incógnita por ahora) si falla, lo que ocurre en el resto de casos:

Por lo tanto, ahora podemos aplicar la esperanza matemática para tener una predicción de qué puntuación sacará el alumno en una pregunta cualquiera, resultado:
Y ahora, asumiendo que cada pregunta se responde independientemente (que existe independencia estadística), ya somos capaces de predecir la nota del examen usando de nuevo la esperanza matemática de la variable aleatoria NOTA:
Y como el objetivo era que para este alumno ficticio que responde al azar uniformemente, su nota sea de cero, pues simplemente igualamos a cero y despejamos la incógnita X (que era lo que restaba cada error):

Y efectivamente, ésta es la fórmula empleada en todos los exámenes de tipo test para descontar los errores. Por ejemplo, para el caso típico de M=4, cada error descuenta 1/3 de punto, por lo que ¡todo encaja!.
PD: Dedicado a jafma… cuando el otro día dijiste que «se podría demostrar la fórmula», me lo tomé como algo personal 🙂





