(Disclaimer: el nivel de este post es aprox. de secundaria)
La mecánica del sólido rígido es de lo más sencillo en mecánica física: estudia cuerpos que se pueden idealizar por un sólo punto situado en su centro de gravedad.
Ignorando las rotaciones, que complican (sólo un poco) la situación, podemos definir dos tipos de energías para cada sólido rígido:
- Energía cinética: Es la energía que lleva un cuerpo por el hecho de estar moviéndose. Intuitivamente, podemos imaginar esta energía como la que habría que aplicar al móvil para conseguir pararlo. Parece obvio que dependerá tanto de la velocidad que lleve como de su masa. De hecho, su expresión es:
Ec = 1/2 m v2(J, Julios)
con m la masa del objeto (Kg) y v su velocidad (metros/segundo).
- Energía potencial: Es una energía «ficticia» que definimos nosotros cuando un cuerpo está en mitad de un campo de fuerzas, como por ejemplo, el de la gravedad. En este caso concreto, la energía potencial viene dada por una expresión:
Ep = m g h (J, Julios)
siendo m la masa del cuerpo (Kg), g la aceleración de la gravedad (9,81 m/s^2) y h la altura hasta un nivel (arbitrario) donde la energía potencial se define como cero.
Una vez definidos ambos conceptos, podemos usarlos junto al principio de conservación de energía para resolver innumerables problemas. Dicho principio dice que, de no existir más fuerzas aplicadas sobre un cuerpo que la causante del campo potencial (*), la suma de energías cinéticas y potenciales se mantendrá exactamente constante:
Ep+Ec=Cte.
Asombrosamente, este resultado se cumple siempre, independientemente del camino que siga la partícula. Se puede demostrar que esto ocurre siempre que el campo de fuerzas cumpla que su rotacional sea cero:

en cuyo caso la fuerza se llama conservativa.
En el caso de campos potenciales causados por la gravedad, esto quiere decir que si un objeto desciende una altura H (ignorando rozamientos y otros pequeños efectos), no importará el camino que haya recorrido: al final, habrá perdido la misma energía potencial, que por el principio de conservación se habrá convertido en energía potencial, y por tanto, acabará siempre teniendo la misma velocidad.
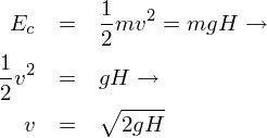
Haciendo cuentas, la energía potencial perdida será mgH , que será igual al incremento de energía potencial. Asumiendo que estaba en reposo al comienzo, se puede calcular la velocidad final así:
Fíjate que ni siquiera hemos asumido nada sobre la dirección de la velocidad en que se mueva el objeto. Podría ser cualquiera, pero su módulo estará dado por la expresión de arriba.
Exactamente eso es lo que muestra el siguiente vídeo:
Primero se deja caer una bola desde una altura determinada, y se mide su velocidad al llegar a la mesa. La velocidad realmente se mide como el «tiempo de tránsito» que tarda la bola en atravesar un dispositivo óptico.
Luego, se vuelve a solar la bola desde la misma altura, pero esta vez en el extremo de un péndulo (**). Aunque el camino recorrido no es el mismo, el principio de conservación hace que la velocidad horizontal al llegar abajo sea exactamente la misma que la velocidad vertical del primer caso.
¡Un bonito experimento!
(*) Se permite que existan otras fuerzas siempre que no produzcan trabajo.
(**) Sí, en el caso del péndulo hay dos fuerzas actuando sobre la bola: la gravedad y la tensión de la cuerda. Pero esta segunda actúa siempre en dirección perpendicular a la velocidad, por lo que el trabajo realizado (cambio de energía de la bola) es siempre de cero. 😉






